Garam dari Basa Lemah dan Asam Kuat
Garam yang terbentuk dari basa lemah dan asam kuat akan mengalami hidrolisis sebagian (parsial), tetapi cukup untuk mengubah pH larutan.
Contoh, Garam NH4Cl
Penentuan rumus Kh
Dalam air, NH4Cl terionisasi sempurna membentuk ion Cl– dan ion NH4+. Ion Cl– berasal dari asam kuat (HCI), tidak bereaksi dengan air, sedangkan NH4+ berasal dari basa lemah (NH4OH), bereaksi dengan air. Jadi, NH4Cl terhidrolisis sebagian:
NH4Cl(aq) → NH4+(aq) + Cl‑(aq) ….….. (1)
NH4+(aq) + H2O(l) ⇄ NH4OH(aq) + H+(aq) ……… (2)
Cl–(aq) + H2O(l) ⇥ tidak ada reaksi.
Reaksi (2) merupakan reaksi kesetimbangan, berarti ada konstanta kesetimbangan.

Perhatikan reaksi ionisasi basa lemah NH4OH
NH4OH(aq) ⇄ NH4+(aq) + OH–(aq)

Perhatikan reaksi ionisasi air, H2O
H2O(l) ⇄ H+(aq) + OH–(aq)
Kw = [H+][OH–]
Substitusi harga-harga 1/Kb, Kw pada persamaan Kh.
Dimana Kb = tetapan ionisasi basa lemah.
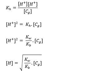
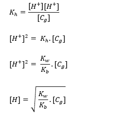
Penentuan rumus [H+]
Perhatikan reaksi kesetimbangan berikut.
NH4+(aq) + H2O(l) ⇄ NH4OH(aq) + H+(aq)
Oleh karena [NH4OH] =[H+] dan [NH4+] adalah garam, maka diberi simbol [Cg]. Dengan demikian:
Dimana [Cg] = konsentrasi garam.
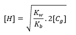
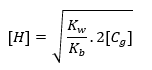
Untuk garam yang mempunyai asam konjugasi, diikat lebih dari satu, seperti (NH4)2SO4, maka:
(NH4)2SO4(aq) → 2NH4+(aq) + SO42-(aq)
Ternyata [NH4+] = 2 x [(NH4)2SO4]
= 2 x [garam]
= 2. [Cg]
Jadi, hidrolisis garam (NH4)2SO4 mempunyai rumus



2 Respon
[…] (NH4)2SO4 berasal dari basa lemah dan asam kuat, berarti larutan bersifat asam, maka yang dicari terlebih dahulu adalah konsentrasi ion […]
[…] amonium nitrat (NH4NO3) yang merupakan campuran dari basa lemah dan asam kuat. Sehingga garam ini bersifat asam. Amonium nitrat biasanya digunakan untuk alat kompres […]